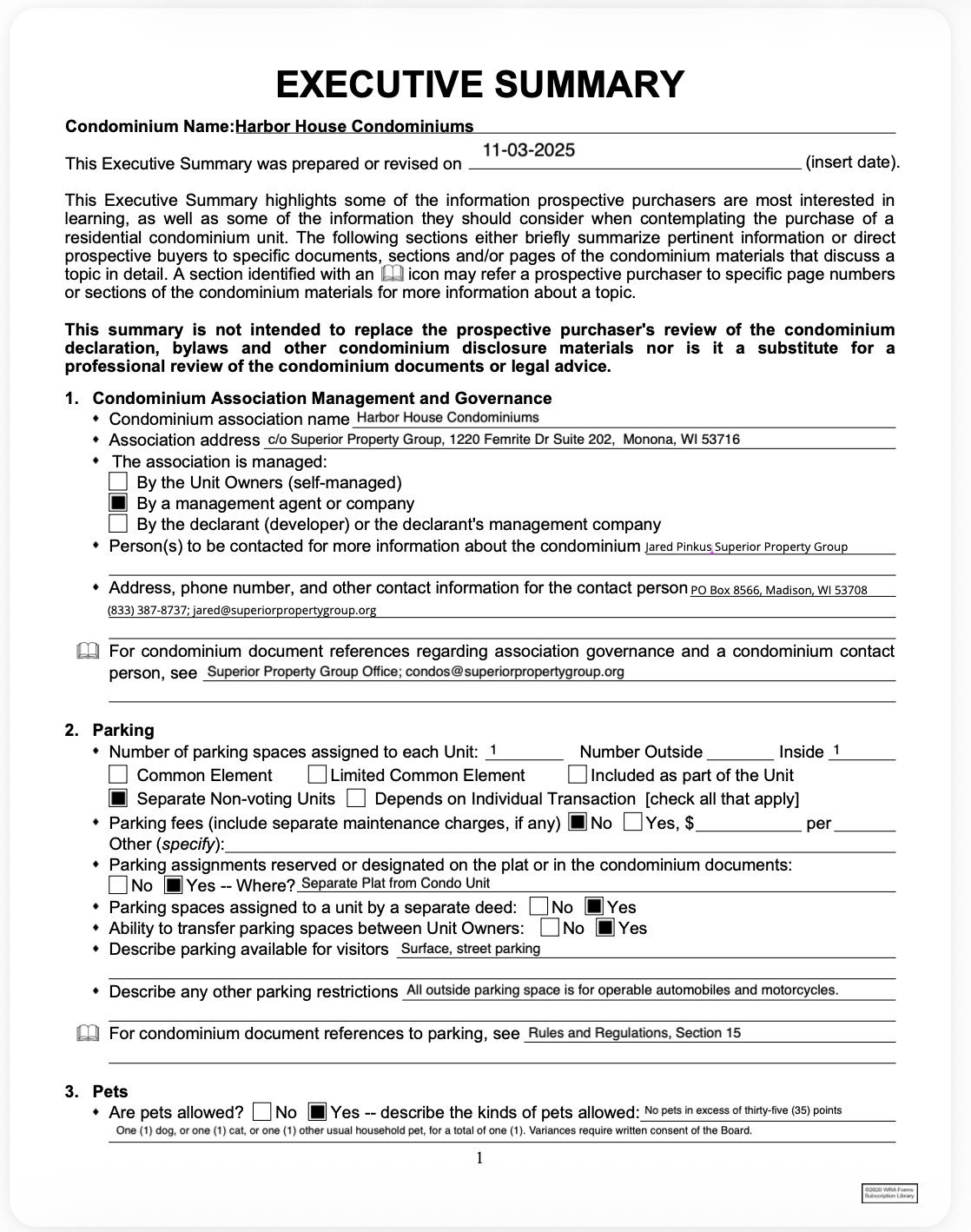
Documents Easy access to important condo documents, including association rules, bylaws, and other community guidelines. Articles of Incorporation Bylaws Declarations Executive Summary Recorded Rules and Regulations